EMI Calculator
Principal Amount
Rs.
Total Interest *
Rs.
Monthly EMI*
Rs.
Payment Breakup
Total Payable Amount*:
Rs.
Rs.
Rs.
Rs.
Rs.
Credit is readily available these days. Knowing how much you will be paying each month is crucial, regardless of whether you have a mortgage, personal loan, or auto loan. Calculating how much you will spend each month on the loan is easy with the help of the online EMI calculator.
This blog discusses the EMI, the loan EMI calculator, the significance of the tool, and the important considerations you need to remember while using the calculator at
An EMI is the set amount you have to pay the lender each month until the loan is entirely repaid. This amount includes both the loan's principle and interest installments.
E.g if you take a loan of ₹10 lakh at an interest rate of 8% for a duration of 3 years, your EMI will be approximately ₹10,303 (as per the formula provided below). Each payment made reduces the interest and increases the principal proportion; this continues until the loan is paid off, through amortization.
An online loan EMI calculator tool is an easy way to determine how much you have to pay each month. Here are the benefits you get when you use one:
Instant estimate. All you need to do is input the loan value, the interest rate, and the loan period, and the calculator can provide you with the monthly EMI in seconds. You can try one.
Better budgeting. Determine how much the monthly EMI will be and assess if you can accommodate it within your monthly expenses.
Scenario comparison. You can evaluate which interest rate and loan period will result in an EMI payment that you are comfortable with.
Transparent decision-making. Knowing how much the EMI will be assists you in managing your expenses.
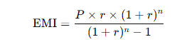
Even though you probably won’t be calculating it yourself when using the calculator, understanding the formula for calculating EMI provides you with some insights:

Where:
(P) = loan principal (amount borrowed)
(r) = monthly interest rate (annual % ÷ 12 ÷ 100)
(n) = loan tenure in months.
For example, if 𝑃 = ₹20,00,000, annual rate = 8% → monthly rate, 𝑟 = 0.08/12 = 0.006667
n = 240 months, EMI ≈ ₹16,729.
Three main factors determine your EMI:-
Loan Amount (P): The more you borrow, the higher your EMI.
Rate of Interest (r): Your EMI is primarily influenced by the interest rate and its duration.
Loan Tenure (n): Your monthly payments will be lower the longer you take to repay a loan, but you will pay more interest overall.
Prepayment, other fees and levies, and fixed versus fluctuating interest rates are other factors to take into account.
An EMI calculator can be used for almost any type of loan:-
Home Loan EMI Calculator – Large amounts for 15-30 year loans.
Car/Vehicle Loan EMI Calculator – Shorter loan periods, more expensive.
Personal Loan EMI Calculator – High rate, short term, unsecured.
No matter the type of loan, the principle remains the same.
Calculating your EMI is hassle-free and only takes about a minute with Finowings EMI calculator:-
1. Enter Loan Amount (principal).
2. Enter Rate of Interest (annual) and convert it for monthly calculations.
3. Enter Loan Tenure (in years or months).
4. Then, select "Calculate EMI" to obtain:
Value of monthly EMI.
Value of total interest charged.
Value of total payment.
If you select a home loan of ₹20 lakh at a 7.5% interest rate for 20 years, it computes the monthly EMI and allows you to check if you can afford it.
For a personal loan or education loan, you can do the same.
Do note that some calculators also display amortisation schedules-how monthly payments are split into interest versus principal.
1. Quick & Accurate Calculations
Why waste time on complex calculations when you can have instant results in a matter of seconds, free of errors.
2. Easy Loan Comparison
Identifies the EMIs from different banks or NBFCs based on interest rates and loan tenure so you can easily balance your loans.
3. Financial Planning Made Simple
Planning your monthly budget will be simple so you can avoid over-borrowing. You will know how much you owe, how much you want to borrow, and more.
4. Transparency Before Borrowing
Knowing the total amount you will repay and the interest shows you have enough information to make a decision.
5. Helps Choose the Right Tenure
You can try different tenures to find the one that works best for you depending on the EMI amount and total interest.
6. Accessible Anytime, Anywhere
You can find EMI calculator online that are free and simple to use at any time of the day and week. You will not have to go to a bank or fill out any forms.
If the EMI is too high compared to your salary, you may want to take a lower amount or increase the number of years. Just know this increases total interest.
Use the calculator to analyse different options for a loan, especially loans with different interest rates and loan periods.
Use the calculator to see the total interest you’ll pay over the loan period. Most of the time you can pay twice the total amount of the loan.
Use tools like EMI calculator to estimate elasticity. What if the interest rate rises after 2 years, or you prepay some part.
Consider your budget stress. Your EMI should not exceed 30–40% of your monthly disposable income.
Using flat-rate interest while ignoring the reduction balance rate (used by nearly all banks).
Neglecting additional expenses such as processing and late fees, prepayment penalties, etc.
Opting for very long tenures purely for lower EMI, while ignoring the total cost, skyrockets.
Altering loan amount/tenure midterm that ultimately impacts their monthly budget.
Using “book value” calculators or other ineffective calculators-always use a good online EMI calculator.
If you are exploring a big purchase or need a loan, using a loan EMI calculator helps you:
Estimate monthly obligation. Compare and choose the right loan terms. Avoid budget shock. Plan finances. Having a reasonable monthly obligation is especially important for your peace of mind and confidence in pursuing your financial goals.
Before you hit “Apply” for a loan, go to an EMI calculator online, input your values, and see if the EMI suits your monthly budget. If it fits, you’re in a much stronger position to manage your loans.
EMI is a facility for those people who keep needing huge amounts for their work.
EMI Calculator
In Lump sum investment, a single payment is made at a specified time.
Lumpsum Calculator
Systematic Investment Plan (SIP) is an easy way to invest in Mutual Funds.
SIP Calculator
Education Loan EMI Calculator is an online tool to calculate Education loan EMI.
Education Loan Calculator
Home Loan EMI Calculator is an online tool that you can use to calculate home loan EMI.
Home Loan Calculator
Car Loan EMI Calculator is an online tool that you can use to calculate Car loan EMI.
Car Loan Calculator
Compound Interest Calculator is an online tool to calculate Compounding Interest.
Compound Interest
Sukanya Samridhi Yojna Calculator is a handy device in estimating maturity value.
SSY Calculator
Before anyone tries to invest their money into a fixed deposit (FD), calculate it.
FD Calculator
Public Provident Fund calculator helps you to understand your PPF investment.
PPF Calculator
A Recurring Deposit is a way to save money by making regular monthly payments.
RD Calculator
GST is a tax in India that began on July 1, 2017, replacing taxes like VAT.
GST Calculator
Step-Up SIP Calculator allows one to increase the amount invested as SIPs over time.
Step UP SIP
SWP Calculator is a tool that helps you figure out how much you can withdraw.
SWP Calculator
EPF calculator is online tool that estimates total amount you'll receive from PF.
EPF Calculator
Income Tax Calculator helps you calculate your tax liability and plan your finances.
Income Tax Calculator
Inflation is the term used to describe the increase in the prices of typical goods.
Inflation Calculator
Almost everyone will at some point in their lives have to face the reality of retirement.
Retirement